Bread is more than just a staple food. It’s the cornerstone of countless meals around the world! Yet despite its place on our plates, bread has found itself at the center of controversy in recent decades. Misguided health claims, trendy diets, and misinformation have caused many people to second-guess their love for this timeless food. Let’s knead through the confusion and slice through four common myths about bread and baker’s yeast, serving up the facts with a dash of science (and a sprinkle of fun).
Here are the real facts about baking products and baker’s yeast, debunking some popular beliefs.
Myth #1: Bread can be made without yeast
Fact: Baker’s Yeast Plays a Key Role in the Baking Process
As some misconceptions pertain to the yeast itself, some consumers tend to seek bread marketed as “yeast-free”. The truth is that yeast is necessary to leaven the bread dough. The fermentation is a key process in bread making and yeast is essential for the fermentation process to occur.
Fact: Fermentation from Yeast is a Natural Process
Doubts related to the “naturalness” of baker’s yeast and bread production may arise when it’s produced at an industrial scale. However, the fermentation process remains the same. It uses a single celled living organism which belongs to the taxonomic class of the fungi, yeast. Yeast uses various raw materials from the dough, mainly carbohydrates, and converts these constituents into different compounds, including carbon dioxide (CO2).
This process known as fermentation allows for expansion of the dough during bread manufacturing. In addition to playing a key role in the leavening of dough, yeast also contributes the enjoyable sensory attributes of bread (texture, aroma and taste).
Yeast More than Just a Leavening Agent
Baker’s yeast is sometimes mistaken with baking powder, which is interchangeably called “chemical yeast.” Baking powder has a leavening power but it uses a complete different chemical reaction. The sodium bicarbonate and tartaric acid which are found in baking powder react together to produce CO2 which allows dough to expand.
Baker’s yeast plays a key role in the leavening of dough, but it also provides bread with a unique taste, helps with its digestibility and contributes also to its nutritional quality. Indeed, the following table shows the proportion of certain micronutrients provided by yeast in regular bread prepared with fortified flour.
Myth #2: Eating Bread Leads to Gluten Sensitivity
Gluten-free diets for alleged health reasons is very fashionable these days and therefore attracts a lot of media attention. This trend of eliminating all gluten containing cereals from your, the byproducts of these cereals and products made from these by-products has certainly contributed to the decline of bread consumption.
But let’s look at the facts
Defining Gluten
Gluten is a protein found in wheat, rye, barley, triticale and their derivatives. Gluten includes two different types of protein, glutenin and gliadin which are respectively responsible for the elasticity and extensibility of the dough. When baking, gluten starts to form during the mixing process as the protein network develops and traps gases produced during fermentation, allowing the dough to expand, while maintaining its shape.
Different Levels of Gluten Sensitivity
There are different types of sensitivity to gluten and different degrees to which one can be sensitive to gluten. The two main types of gluten sensitivity are known as coeliac disease and non-coeliac gluten sensitivity. About 1% of the population has coeliac disease, which is defined as an autoimmune disorder. For these individuals, ingesting gluten containing foods results in damages to the small intestine. The only treatment for this disease is a complete and lifetime withdrawal of gluten containing foods.
A larger group of the population (about 10-15%) has a non-coeliac gluten sensitivity, also called gluten intolerance. A gluten intolerance results in various degrees of gastrointestinal symptoms (pain, bloating, abdominal distension). For such type of reaction, gluten may not be at cause. Indeed recent studies are starting to demonstrate that the gastrointestinal symptoms that are seen when ingesting gluten containing foods may be explained by a different compound than gluten. The suspected compound would actually be fructan, a short chain carbohydrates of the family of fermentable oligosaccharides, disaccharides, monosaccharides and polyols (FODMAPs).
Learn more about FODMAPs on the BAKED in Science Podcast.
Myth #3: Bread Makes You Fat and Causes Obesity
Another popular misconception shared by health and wellness gurus is that bread consumption induces weight gain. There are however no scientific evidence supporting this myth. Several studies that have looked at the impact of bread consumption on body weight show, on the contrary, a beneficial effect.
For example there is growing evidence supporting the benefits of a Mediterranean diet which includes olive oil, legumes, unrefined cereals including bread, fruits and vegetables and which also incorporates a moderate consumption of fish, meat and wine. Several studies have compared the effects of a Mediterranean diet that included varying quantities and types of bread on body composition indicators. Their conclusions were:
- A diet which includes bread does not seem to be associated with an increase in weight.
- In terms of waist circumference, which is an indicator of abdominal fat, the consumption of whole-grain bread seemed to have more benefits than refined bread.
Whole-Grain Vs. White Bread
Whole-grain bread had no influence on weight gain. However, a possible relationship related to the consumption of white bread and an excess of abdominal fat was observed. Adopting dietary patterns in accordance with the Mediterranean diet including whole grain bread, along with reducing the consumption of white bread is associated with a lower weight gain and waist circumference. The studies conducted mostly differentiated the types of bread consumed. More studies should be conducted to compare the effects of artisanal versus industrially-produced bread consumption on body weight change.
Bread Consumption Vs. Obesity Rates
That being said, despite the general decline in bread consumption in the last decades, the rate of obesity has continued to rise. Here’s what a study reported by the Bread Initiative revealed:
- Bread consumption in Europe dropped from 67 kg (2004) to 63 kg per capita in 2016.
- During that same time period, the prevalence of obesity (BMI ⩾30 kg/m2) has tripled in many countries of the European Region.
- For example, the prevalence of obesity in European older adults increased significantly from 17.5% in 2005 to 19.2% in 2013.
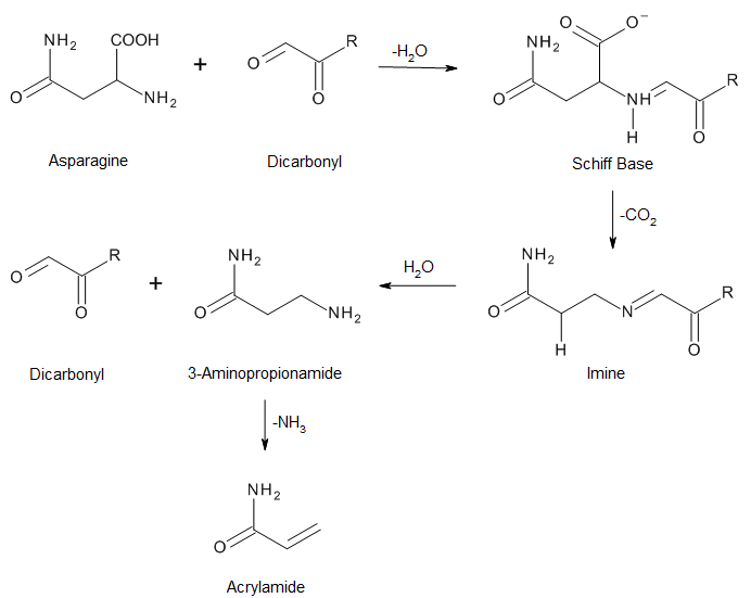
Myth #4: Bread Contains Acrylamide
But first, what is Acrylamide?
It’s a chemical compound that may be found in baked or fried carbohydrates-containing foods. This compound forms when certain carbohydrate-rich foods are baked or fried at temperatures usually above 120 °C and low moisture. It forms, at least in part, due to a Maillard reaction between certain amino acids, such as asparagine, and reducing sugars.

Chemical Structure of Acrylamide.
Regulations and Monitoring of Acrylamide in Foodstuffs
According to EFSA Council Regulation EEC No315/93, acrylamide is:
A contaminant and as such, it is a chemical hazard in the food chain.
For this reason, EFSA has established a benchmark level for the presence of acrylamide in foodstuffs. From now on, and according to Commission Regulation (EU) 2017/2158, food business operators are asked to monitor the acrylamide level in food and implement changes in their processes to reduce its formation.
Fact: There’s Not Much Acrylamide in Bread
The level of acrylamide in various bread products has been reported to vary between 33-245 ppm, compared to 190-391 ppm in fried potato products. According to EFSA Commission Regulation (EU) 2017/2158, the benchmark level for wheat based bread and soft bread other than wheat based bread is 50 and 100 ppm, respectively. Different types of bread, preparation techniques and handling processes will also affect the acrylamide content of bread. Indeed, acrylamide levels are lower in “soft bread” compared to “crisp bread”.
However, “soft bread” and “crisp bread” made from wheat tend to contain lower levels than the ones made from rye. Toasting the bread is a common practice which will have a tendency to increase the levels of acrylamide. Rye bread tends to brown more easily when toasted which leads to higher levels of acrylamide.
In Fact, Yeast Can Help Lower Acrylamide Levels
Several published scientific articles reported the beneficial effect of yeast fermentation in reducing asparagine levels in dough and hence acrylamide levels in bread and baked goods. In general, most of the asparagine is utilized after 2 hrs of yeast fermentation. Sourdough fermentation, on the other hand, does not reduce the content of free asparagine as efficiently and diminishes asparagine utilization by baker’s yeast. Therefore this type of fermentation may result in breads with higher acrylamide.


